本文智能厚膜測微儀壓力91视频观看网站利用單片機的強大功能提高係統的測量精度資料由優質91视频观看网站生產報價廠家為您提供。
厚膜微壓力傳感器是利用厚膜電阻的壓阻效應製成的一種新型應變式壓力傳感器。本發明具有工作溫度範圍寬、耐腐蝕、蠕變小、重複性好、性價比高等優點。ADuC824是美國AD公司推出的一種新型高性能單片機。91视频下载网站的上海自動化儀器廠4(zdhybsc)可以利用ADuC824的強大功能來計算和處理傳感器信號,以補償傳感器的非線性、零點和溫度。ADuC824本身具有資源豐富、體積小、功耗低等優點。厚膜微壓力傳感器與高性能單片機ADuC824技術相結合,使智能厚膜micro 壓力91视频观看网站具有優異的特性。
1.工作原理
厚膜智能微壓力91视频观看网站的原理框圖如圖1所示。

厚膜微壓力傳感器將壓力信號轉換成毫伏信號,經過調理電路後進入模數轉換模塊。運算處理模塊按照一定的算法對數字信號進行處理,如非線性補償、溫度補償、零點補償、工程量轉換等。,並通過數據采集模塊輸出20mA電流。電源模塊將外部提供的91视频观看网站電源電壓轉換為低壓DC工作電源和精密參考電源,該電源可為自身和其他電路供電或使用。
2.硬件設計
2.1高性能單片機
該係統的核心部件是美國ad公司生產的高性能單片機ADuc8242。內核與8051指令集、8kB和640bte閃存/擦除程序、數據存儲器和芯片上的256字節ram以及多個外設兼容。ADuC824有兩個高精度σ-△ADC,分別為16位和24位。σ-δ型模數轉換器具有抗幹擾能力強、分辨率高、線性度好、量化噪聲低、轉換速度快等優點。它廣泛應用於傳感器和91视频观看网站的智能化。傳感器輸出的毫伏信號可以通過24位主通道輸入。主通道是緩衝和可編程的,有8個輸入範圍可供選擇;還可以在輸入端設置RC濾波,以消除噪聲和減少射頻幹擾。采用sinc3可編程低通濾波器,可獲得5.35 ~ 105.03赫茲輸出速率的轉換結果。16位輔助通道可以與熱敏電阻或熱敏電阻二極管相連,也可以直接與片內溫度傳感器相連。該通道檢測到的溫度信號可以方便地用於傳感器的溫度補償。
2.2串行輸入數模轉換器
數模轉換器是AD公司的AnA2131。由電流回路供電,串行輸入16位信號,輸出4~20mA電流,實現遠程智能工業控製。AD421主要由電壓調節器、數模轉換器和電流放大器組成。電壓調節器從電流回路中汲取電流。引腳LV和V之間的不同連接可以分別產生5V、3.3V和3V的電壓,以向AD421和其他電路元件供電。AD421還產生+1.25伏和+2.5伏兩個基準電壓,數模轉換器的數字接口由時鍾、數據和鎖存器組成。串行數據在移位寄存器中接收,並在時鍾的作用下逐位讀取。鎖存信號將數據鎖定在數模轉換器中。電流放大器精確放大電流,以確保輸入數字量和相應電流的單調性。ADA21可以直接連接到帶有串行接口的單片機。沒有SP接口的單片機可以通過軟件仿真實現。給出了與SP接口的連接方式,如圖2所示。

AD421具有正常和報警電流輸出模式。如果兩個鎖存脈衝之間輸入16個時鍾周期,則鎖存16位數字信號,完成正常電流轉換。如果輸入超過16個時鍾周期,則僅輸出鎖存後的17位數據輸入,並輸出報警信號。當輸入為0至滿量程時,輸出相應的4 ~ 20mA電流。圖3(a)和圖3(b)是AD421在兩種工作模式下的時序圖。

2.3傳感器的電源
壓阻傳感器的主要缺點是易受溫度影響。它可以由電壓源或恒流源4供電。當由電壓源供電時,輸入和輸出特性為

其中e是電壓源;△R為電阻值的變化;R0是每個橋臂的初始電阻值。
當恒流源供電時,輸入和輸出特性為

恒流源在哪裏?
比較方程(1)和(2),得出當電壓源供電時,輸出與R0有關,當工作溫度變化時,R0會產生溫度幹擾,從而影響輸出。然而,當恒流源供電時,沒有溫度幹擾,所以理論上沒有溫度誤差。在實際電路中,由於技術原因,恒流源供電不能完全解決溫度的影響。可以采用軟件補償方法進行進一步改進。在該電路中,恒流源用於向傳感器供電。隻要恒流源兩端的電壓大於其工作電壓,就可以根據係統以及液晶等外圍設備的需要控製電流的大小。,可顯示運行狀態、數據處理結果等。由於整個係統采用高集成度、高性能的器件,電路設計簡單方便,可靠性得到提高。
3.軟件設計
軟件設計采用快速啟動開發係統,采用模塊化設計,主要完成非線性校正、零點補償、溫度補償等功能。
3.1非線性校正
非線性校正可采用曲線擬合法或表格法(分段線性插值法)。當多項式次數較高時,曲線擬合法需要時間計算,而表格法可以提高數據處理速度。

其中:p為計算壓力值;u為采樣電壓值;Uk和Uk+1是k點和k+1點的電壓值。Pk、Pk+1是k點和k+1點的壓力值。對電壓值進行采樣後,查表找出U所在的區間,然後用上述方法得到P值。
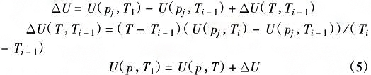
3.2零點補償和溫度補償
零點補償的方法類似於非線性校正。厚膜傳感器的輸出不僅與壓力P有關,還與工作溫度T有關。當溫度T不同時,輸出曲線也不同。如果根據一維標定特性計算壓力P,將會出現較大誤差,因此可以采用多段折線逼近法進行溫度補償。讓采樣值範圍為

補償電壓為

根據反非線性特性,可以得到壓力值p。
結論
本文介紹了智能厚膜微處理器的設計。該係統采用高性能芯片,如ADuC824,使電路結構簡單,增強了穩定性,減少了誤差。利用單片機強大的功能,實現了非線性校正、零點和溫度補償,提高了係統的測量精度。
《智能厚膜測微儀壓力91视频观看网站利用單片機的強大功能提高係統的測量精度》本文地址:http://www.hdzbq.com/news/js/761.html 轉載請勿刪除!
全國服務熱線